Base

The base is the part of the rivet gun that supports the other parts. The part features a handle section where the user applies a force and a support section that takes on the force from the fulcrum pin and the rivet. There are bending and shear forces present across the part, as evident in the shear and moment diagrams.

basefig1.jpg

Analyzing these diagrams can provide the place where the largest stress will occur. Both diagrams peak at the fulcrum pin, so analysis of the stress will be performed at this point.

Normally, the presence of a hole would demand the use of a shear stress concentration factor kt but tables for this value for this situation were nowhere to be found. Instead, equation 1 was used to find the shear stress. The area was the cross section of one side of the cylinder minus the fulcrum pin hole and extending down to the top of the handle. Because the force from the pin is supported by both sides of the base, only half of the shear is applied to the side being analyzed

baseeqn1.jpg

A stress concentration factor table was available for the bending stress, yielding the below kt. First a nominal stress was calculated using an area that did not subtract the area of the pin hole. Then this Figure 1. Dimensions of the Base Figure 2. Free Body Diagram of the Base nominal stress was multiplied by the stress concentration factor found in the table to find the maximum bending stress.

baseeqn2.jpg

The stress is not constant throughout the selected area. Shear stress will be maximum at the center of the rectangular areas in figure 3, while the bending stress will be maximum at the edge of the hole. Because the bending stress is significantly larger than the shear stress, the point at the green dot in figure 3 was selected to allow for the maximum bending stress to be used in the Von Mises analysis.

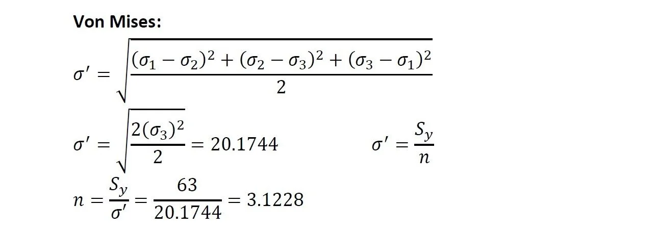
The Von Mises stress is calculated using the three principle stresses. Because there are no shear stresses and only one bending stress at the point selected, the principal stress equation simplifies to:

baseprincipal.jpg

From these principle stresses the Von Mises stress was calculated:

A safety factor of 3.1228 shows that the part will be able to withstand the static load. The rivet gun will be used repetitively, so the base must be designed to withstand continual use. This can be done using a fatigue analysis with a modified endurance limit.

 

Under the Soderberg criteria, the base proved to have infinite life.

The S-N Diagram pictured shows how σrev compares to Sut and Se.

 
 
Go to (Spring)
back